化学 反応 式 未定 係数 法





化学 化学反応式の係数を決める 未定係数法 Youtube

化学 化学反応式の係数を決める 未定係数法 Youtube

化学の未定係数法について質問です Clear

化学の未定係数法について質問です Clear

化学基礎の未定係数法なんですが 110の 2 を過程も含めて教えてくれ 化学 教えて Goo

化学基礎の未定係数法なんですが 110の 2 を過程も含めて教えてくれ 化学 教えて Goo

化学反応式 未定係数法についてのまとめ 高校生 化学のノート Clear

化学反応式 未定係数法についてのまとめ 高校生 化学のノート Clear

未定係数法をなるべく使わない 化学がちょっとだけ好きな社労士

未定係数法をなるべく使わない 化学がちょっとだけ好きな社労士

化学基礎です 未定係数法で解くのですが うまく出来ません Clear

化学基礎です 未定係数法で解くのですが うまく出来ません Clear

化学基礎です 未定係数法で解くのですが うまく出来ません Clear

未定係数法の解き方を教えてください Clear

未定係数法の解き方を教えてください Clear

ナトリウムと水の化学反応式の未定係数法で考えたものです 化学に関する質問 勉強質問サイト

ナトリウムと水の化学反応式の未定係数法で考えたものです 化学に関する質問 勉強質問サイト

未定係数法は化学反応式の係数が絶対にわかる裏技だ 三重の個人契約家庭教師

未定係数法は化学反応式の係数が絶対にわかる裏技だ 三重の個人契約家庭教師

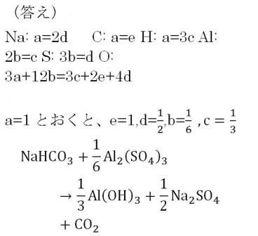
未定係数法の計算です B D Eの求め方の過程を教えてください Clear

未定係数法の計算です B D Eの求め方の過程を教えてください Clear

未定係数法 高校数学 高校化学 高校物理に関連した基礎の基礎の復習です

未定係数法 高校数学 高校化学 高校物理に関連した基礎の基礎の復習です

化学反応式の係数を簡単に出す方法 おときち副塾長 電脳空間学習塾かもん Youtube

化学反応式の係数を簡単に出す方法 おときち副塾長 電脳空間学習塾かもん Youtube

裏技 未定係数法で化学反応式をつくる方法 理解せずに作れる 化学受験テクニック塾

裏技 未定係数法で化学反応式をつくる方法 理解せずに作れる 化学受験テクニック塾

1 7 2 化学反応式に慣れよう 未定係数法 Youtube

1 7 2 化学反応式に慣れよう 未定係数法 Youtube

化学反応式の係数について 化学に関する質問 勉強質問サイト

化学反応式の係数について 化学に関する質問 勉強質問サイト

110 3 4 の解くコツってありますか Clear

110 3 4 の解くコツってありますか Clear

110番の 未定係数法 ってなんですか 目算法はわかりましたが これがわかりませんで Clear

110番の 未定係数法 ってなんですか 目算法はわかりましたが これがわかりませんで Clear

化学反応式の係数を決める 高校 化学 化学基礎 Youtube

化学反応式の係数を決める 高校 化学 化学基礎 Youtube

次の化学反応式を未定係数法で解いてください 4no 4nh3 O2 4n Yahoo 知恵袋

次の化学反応式を未定係数法で解いてください 4no 4nh3 O2 4n Yahoo 知恵袋

化学の目算法と未定係数法 イオン反応式について わかりやすく解説をお願いします Clear

化学の目算法と未定係数法 イオン反応式について わかりやすく解説をお願いします Clear

Source : pinterest.com